陶瓷材料因其高模量、高耐腐蚀性和良好的生物相容性,在结构工程与生物医学领域具有重要应用潜力。然而,传统陶瓷增材制造通常依赖高温烧结以实现致密化,这不仅限制了材料体系的选择,也容易在层间界面处引入缺陷,成为结构失效的潜在源头。尤其对于碳酸钙等热稳定性有限的体系,高温处理会导致分解反应,使常规烧结路径难以适用。
自然界中的矿化组织提供了不同的思路。在生物矿化过程中,无定形碳酸钙(ACC)常作为过渡相参与结构构建。相较于晶态矿物,无定形前驱体具有更高的成分调控自由度,并能够在较低温度条件下实现结构重组与转化。这一机制使生物体能够在温和条件下构建具有分层结构和性能梯度的矿物组织。
基于上述背景,本研究探索了一种以 Mg 稳定 ACC 为核心的低温 3D 打印策略。通过利用 ACC 内部结构水在低温条件下促进颗粒间扩散与聚并,材料在 150°C 条件下实现层间融合,并构建仿生分层结构。本文借助 Neoscan N80 高分辨显微CT系统分析了材料组成、结构演化、力学响应以及三维结构连续性,为无定形前驱体在陶瓷增材制造中的应用提供实验依据。
.png)
01 高无机含量 ACC 复合体系的构建
研究制备了 Ca/Mg 比例为 40/60、50/50 和60/40 的 ACC 粉体,并通过乙二醇基有机体系构建打印浆料。最终烧结后材料中 ACC 增强相比例超过 94%,有机组分含量较低。该组成特征与天然矿化组织中“高矿物含量、低有机相比例”的结构相一致。
HRPXRD 分析表明,经 150°C 真空处理后样品仍保持无定形结构,未发生晶态转变。形貌观察显示 ACC 颗粒在低温处理后保持球形特征。材料在有机环境中可长期稳定储存,说明有机基体对ACC 具有稳定作用。

图1 (A-G) HR-SEM图像展示了烧结后含有各种添加剂的ACC 3D打印模型。富含添加剂的ACC粉末样品如下所示:(A) 50/50 CGN 5%;(B) 50/50 CGN 10%;(C) 50/50 CGN 15%;(D) 60/40 CGN 15%;(E) 40/60 CGN 15%;(F) 50/50 MCL_15;(G) 50/50 MCL_400;以及(H) 50/50 Glu 15%。(I) 高分辨粉末X射线衍射(HRPXRD)图谱采集条件为:Cu Kα辐射,波长1.546 Å,以及波长0.3542 Å(归一化至Cu Kα)。
02 结构水释放与低温扩散聚并
CaCO₃ 体系无法承受传统高温烧结过程。本研究的致密化过程发生在 150°C 条件下,其驱动力来源于 ACC 内部结构水的释放。
热重分析显示,不同 Ca/Mg 比例 ACC 粉体的结构水含量存在差异,其中 60/40 体系含量最高。在干燥过程中,结构水释放比例亦以 60/40体系为最大。结构水迁移促进颗粒间短程扩散与界面重组,使相邻颗粒发生聚并。
三点弯曲测试结果显示,60/40 CGN15% 体系表现出最高弯曲强度。结合热重结果可以推断,较高结构水含量有助于促进低温下颗粒间融合,从而提高整体力学性能。

图2 单材料基体有机-ACC模型的弯曲强度(BST)。60/40 CGN 15% 展现出最高的弯曲强度。
03 仿生分层结构的构建与性能响应
在单一体系基础上,研究进一步构建分层结构。
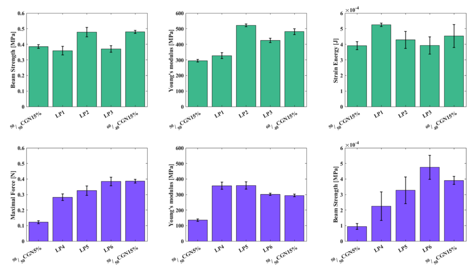
模拟 Ophiomastix wendtii 中 Mg 分布特征,通过交替打印50/50 CGN15%与60/40 CGN15% 浆料形成不同层间距结构。结果表明,特定层间排列能够提高 Young 模量,同时保持弯曲强度接近高强度单一体系水平。
模拟 Odontodactylus scyllarus 的分区模量结构,通过组合不同胶原含量体系构建分层比例结构。随着高模量层比例增加,材料整体模量与强度呈上升趋势,表明层状空间排列能够实现性能调控。

图3(A-C) 受O. wendtii海蛇尾启发的50/50 CGN 15%和60/40 CGN 15%层状结构测试样品;(D-F) 受O. scyllarus指节棒启发的50/50 CGN 15%和50/50 CGN 5%层状结构;(G) 打印样品实物图。

图4 受O. wendtii(A-C)和O. scyllarus(D-F)启发的模型的力学性能。(A) 弯曲强度(BST)测量结果;(B) 杨氏模量;(C) 不同层状结构中分散的50/50 CGN 15%和60/40 CGN 15%模型的应变能图。(D) 弯曲强度(BST)测量结果;(E) 杨氏模量;(F) 不同层状结构中分散的50/50 CGN 15%和50/50 CGN 5%模型的应变能图。
04 层间连续性的三维结构验证
在陶瓷增材制造中,层间界面通常是潜在的失效区域。本研究中,断口形貌未观察到明显的层间分离迹象。为进一步确认结构完整性,研究采用NeoScan N80 显微计算机断层扫描系统对代表性样品进行三维成像分析。

图5 60/40 CGN 15%模型的显微CT成像:(A) 正视图和(B) 侧视图;LP2模型的显微CT成像:(C) 正视图和(D) 侧视图。

图6 (A) LP2样品的三点弯曲(3PB)测量断裂面;(B) LP2的EDS测量结果;(C) LP3样品的三点弯曲(3PB)测量断裂面;(D) LP3的EDS测量结果。绿色圆圈—钙离子(Ca),紫色方块—镁离子(Mg)。彩色线条表示根据LP2和LP3的层状结构:浅蓝色—60/40 CGN 15%层,紫色—50/50 CGN 15%层。
结果显示,尽管不同 Mg 比例层在密度上存在差异,层状结构在三维空间中清晰可辨,但层间区域未形成独立分离带或贯穿性界面。孔隙与裂纹在体内呈随机分布,而非沿打印层方向集中。
这一三维结构结果与低温扩散聚并机制相一致,说明打印层在干燥过程中实现了界面融合,而无需依赖高温致密化步骤。
05 结论
本研究提出了一种基于Mg稳定ACC的低温3D打印策略。通过利用ACC内部结构水促进颗粒扩散与界面重组,在150°C条件下实现层间融合,并构建高无机含量的仿生分层结构。
分层设计在保持材料组成简洁的同时,实现了模量与强度调控。结构表征结果进一步表明,界面连续性可以在低温条件下获得,从而为无定形前驱体在陶瓷增材制造中的应用提供了新的思路。
获取更多 Neoscan 高分辨显微CT的产品详情和应用案例,欢迎咨询我们:400 857 8882
往期推荐 ●●
// 1
// 2
// 3
// 4

如果您想要了解更多产品信息,请填写以下信息下载产品手册, 我们收到您的信息后将第一时间回复您。